[x] ปิดหน้าต่างนี้
ค้นหา
99 หมู่10 ต.มิตรภาพ อ.
มวกเหล็ก จังหวัดสระบุรี 18180 โทร : 036-342239 แฟ็กซ์ : 036-342240 E-mail : konommuaklek2515@hotmail.com
ผังองค์กร
นายสุคนธ์ ปักเคเต
ประธานกรรมการ
คณะกรรมการดำเนินการ
คณะกรรมการอำนวยการ
คณะกรรมการเงินกู้
คณะกรรมการศึกษาและประชาสัมพันธ์
คณะอนุกรรมการฝ่ายจำหน่าย-บริการ
คณะอนุกรรมการฝ่ายโรงงานผลิตอาหารสัตว์
คณะอนุกรรมการฝ่ายรวบรวมผลผลิต (น้ำนมดิบ)
คณะอนุกรรมการฝ่ายโรงงานแปรรูปผลิตภัณฑ์นมพร้อมดื่ม
ที่ปรึกษาสหกรณ์โคนมมวกเหล็ก
ที่ปรึกษาคณะกรรมการ
ผู้ตรวจสอบกิจการ
ฝ่ายจัดการ
เมนูหลัก
หน้าแรก
ข่าวประกาศ
ประวัติของสหกรณ์ฯ
กิจกรรมสหกรณ์ฯ
ข้อมูลเกี่ยวกับ AEC
สาระน่ารู้
วารสาร
Administrator
แบนเนอร์
จำนวนผู้เข้าชม
เริ่มนับ 12/ก.พ./2558
ผู้ใช้งานขณะนี้
IP
ขณะนี้
คน
สถิติวันนี้
คน
สถิติเมื่อวานนี้ี้
คน
สถิติเดือนนี้
คน
สถิติปีนี้
คน
สถิติทั้งหมด
คน
IP ของท่านคือ
216.73.216.221
(Show/hide IP)
หมวดหมู่ :
ข่าวประกาศ
เรื่อง :
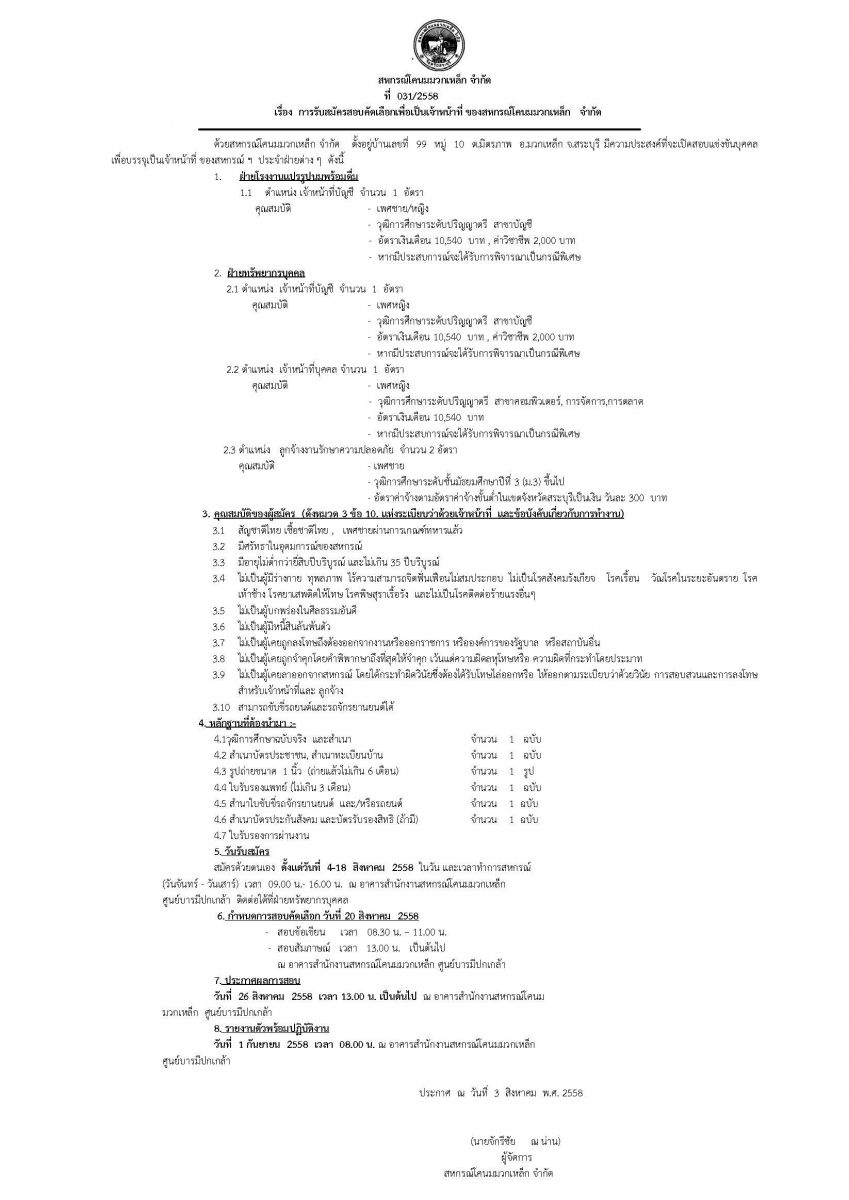
การรับสมัครสอบคัดเลือกเพื่อเป็นเจ้าหน้าที่-ลูกจ้าง ของสหกรณ์โคนมมวกเหล็ก จากัด
โดย : admin
เข้าชม : 2256
จันทร์ ที่ 10 เดือน สิงหาคม พ.ศ.2558
A-
A
A+
เฉลี่ย :
Not Rated
จาก
0
ครั้ง.
ยอดเยี่ยม
ดีมาก
ดี
ปานกลาง
แย่
ข่าวประกาศ5 อันดับล่าสุด
ประกาศ เรื่อง ผลการจัดซื้อเวชภัณฑ์ยาสัตว์ ด้วยวิธีประกวดราคา ระยะเวลา 4 เดือน (ตั้งแต่วันที่ 1 เม.ย. - 31 ก.ค. 69)
14/มี.ค./2569
ประกาศ เรื่อง การจัดซื้อเวชภัณฑ์ยาสัตว์ ด้วยวิธีประกวดราคา
4/มี.ค./2569
ประกาศ เรื่อง ประกาศผู้ชนะการเสนอราคา ประกวดราคาจัดซื้อครุภัณฑ์ (ชุดฆ่าเชื้อพาสเจอร์ไรส์แบบESLเพื่อยึดอายุการเก็บรักษาเป็น 21 วัน)
21/ม.ค./2569
ประกาศ เรื่อง ประกวดราคาจัดซื้อครุภัณฑ์ (ชุดฆ่าเชื้อพาสเจอร์ไรส์แบบ ESL เพื่อยืดอายุการเก็บรักษาเป็น 21 วัน)
27/ธ.ค./2568
ประกาศ เรื่อง ผลการจัดซื้อเวชภัณฑ์ยาสัตว์ ด้วยวิธีประกวดราคา ระยะเวลา 4 เดือน (1 ธ.ค. 68 - 31 มี.ค. 69)
11/พ.ย./2568
159 หมู่ 3 ตำบลมวกเหล็ก อำเภอมวกเหล็ก จังหวัดสระบุรี 18180 (ศูนย์มิตรภาพ) โทร : 036-342239 แฟ็กซ์ 036-342240
39 หมู่ 1 ตำบลหนองย่างเสือ อำเภอมวกเหล็ก จังหวัดสระบุรี 18180 (โรงงานผลิตอาหารสัตว์) โทร : 036-340211,212,213,214 แฟกซ์ : 036-340210
หน้านี้ใช้เวลา LOAD ทั้งสิ้น 7.8701238632202 วินาที
@2010-2015under
GNU General Public License
Edit&Applied by
ที่นี่มวกเหล็กดอทคอม